Sprzedam

Syndyk sprzeda wyposażenie chlewni

319 621,11 zł
Dodano31 mar 2026
Data aktualizacji31 mar 2026
Wyświetlenia0
Udostępnij ogłoszenie:
zdjecie-1
zdjecie-2
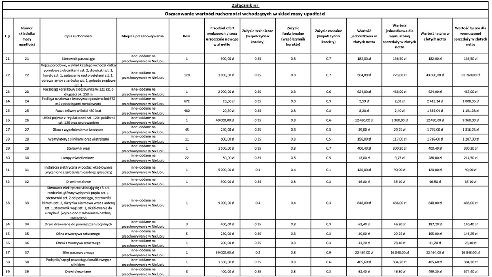
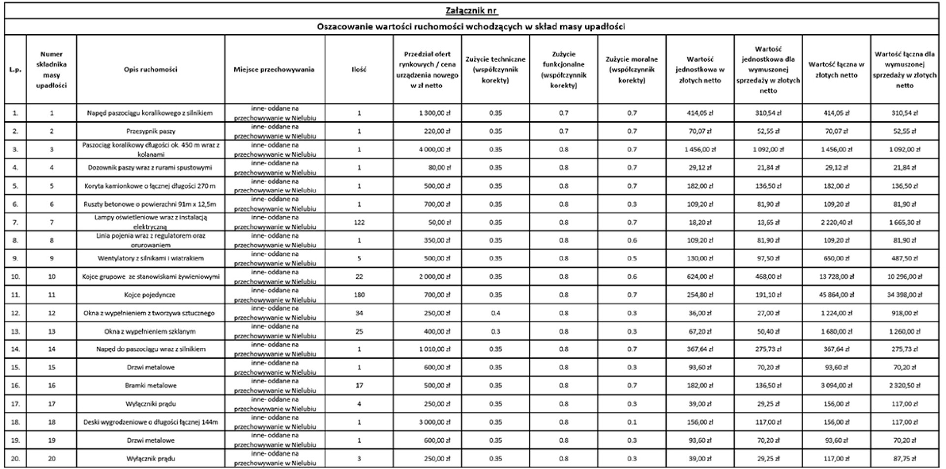
OpisOGŁOSZENIE O SPRZEDAŻY Syndyk masy upadłości zaprasza do składania ofert na zakup ruchomości stanowiących wyposażenie chlewni – zlokalizowanych w miejscowości Nielub, w powiecie wąbrzeskim, w gminie Ryńsk . Łączna cena wywoławcza oferowanego do sprzedaży majątku stanowi 75% oszacowania i wynosi 319 621,11 złotych netto. Oferty należy składać osobiście w Kancelarii Doradcy Restrukturyzacyjnego w Toruniu przy ul. T. Kościuszki 66 B1 lok. 12 lub za pośrednictwem poczty listem poleconym za zwrotnym potwierdzeniem odbioru w zamkniętej kopercie z dopiskiem „oferta – ruchomości – Nielub – Janusz Baliński”, do dnia 7 maja 2026 roku do godz. 15:00. Oferty złożone za pośrednictwem poczty listem poleconym za zwrotnym potwierdzeniem odbioru będą uznane, jeżeli w dniu 8 maja 2026 roku do godz. 15:00 będą znajdować się w Kancelarii Doradcy Restrukturyzacyjnego. Termin otwarcia ofert odbędzie się w dniu 8 maja 2026 roku o godzinie 12:30. Z opisem i oszacowaniem przedmiotu sprzedaży i regulaminem sprzedaży można zapoznać się po uprzednim zapytaniu zgłoszonym e-mailowo pod adresem e-mail: oferty@krmm-legal.pl lub tel. pod numerem 571-850-777.
Pamiętaj o zasadach bezpieczeństwaZanim dokonasz płatności sprawdź wiarygodność kontrahenta.
Zasady bezpiecznych transakcji
avatar
Osoba prywatna
Na Igrit od 18.11.2019
Początkujący
Nielub, kujawsko-pomorskie
Uwaga! Ogłoszenie zostało dodane spoza terenu Polski
chart
Chcesz sprawdzić notowania cen dla tej giełdy?
Przejdź do Notowań